Skip to main content Skip to main navigation Skip to footer content

Home Work #7

3.  If the takeoff distance for a 2000 lb. airplane is 1100 feet, what would the takeoff distance be if the airplane gross weight is decreased to 1800 lbs.

Math Homework

Aircraft data for problems 4-8                     

Landing speed = 100 knots (169 fps)

Gross weight = 5000 lbs

Average retarding force = 1500 lb.

Sea level standard conditions.

Propeller, single engine piston, non turbocharged

 4.         Calculate the deceleration.

Math Homework

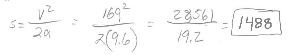
5.         Calculate the no-wind stopping distance.

Math Homework

 6.         If the weight is increased to 8,000 lb., calculate the no-wind stopping distance.

Math Homework

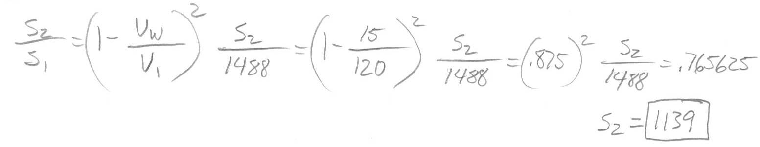
7.         If the 5000 lb. airplane lands with a 15-knot tailwind, calculate the stopping distance.

Math Homework

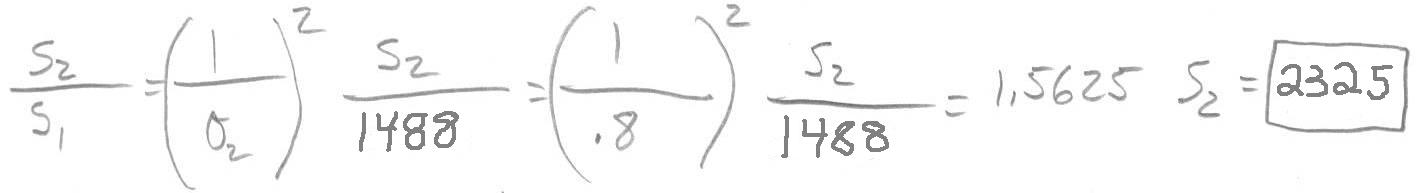
 8.         If operating from an airfield where the density ratio is 0.8, calculate the no-wind stopping distance

Math Homework

Aircraft data for problems 9-14

Thrust available during takeoff = 5000 lb.

Turbo-jet engines

Average drag + rolling friction = 700 lb.

Gross weight = 10,000 lb.

Takeoff speed 120 knots (203 fps)

             Sea level standard condition.

9.  Calculate the airplane’s acceleration.

Math Homework

10. What should the airspeed be at the 500 ft. runway marker?

 

Math Homework

11. Calculate the no-wind takeoff distance.

Math Homework

12. If the weight is increased to 15,000 lb., calculate the no-wind takeoff distance.

Math Homework

13. Calculate the takeoff distance for the 10,000 lb. airplane if there is a 15-knot headwind.

Math Homework

14. Calculate the no-wind takeoff distance for the 10,000 lb. airplane operating from an airfield where the density ratio is 0.8.

Math Homework

17. A B-19 doing 116kts TAS, in a 60º  bank angle level coordinated turn will yield:

Rate of turn____________

Radius of turn___________

Math Homework

20.  A 45º bank level coordinated turn will yield a load factor of ________.

 

Math Homework

Home Work #8

1.        An airplane has 800 lbs of induced drag in straight and level flight. How much Di would it have in a 45˚ bank level turn?

          See page 176 in Aerodynamics For Naval Aviators for the table to figure this out.

2.        A F33A has an unaccelerated stall speed of 68.7 KTS IAS. At 134 kts IAS, how much load factor is possible before stall?

Math Homework

3.        At an air show an F-16 is making a 6.0 G level turn to demo the turning capability of the airplane. What is the bank angle?

Math Homework

4.        An F-16 has a limit load factor of 8.0 G at 25,000 pounds gross weight. If the one G stall speed of the airplane is 130 kts IAS, what is the maneuvering speed?

Math Homework

5.        In the problem above, if the gross weight is increased to 27,000 pounds, what would be the new limit load factor and adjusted maneuvering speed?

 

Math Homework

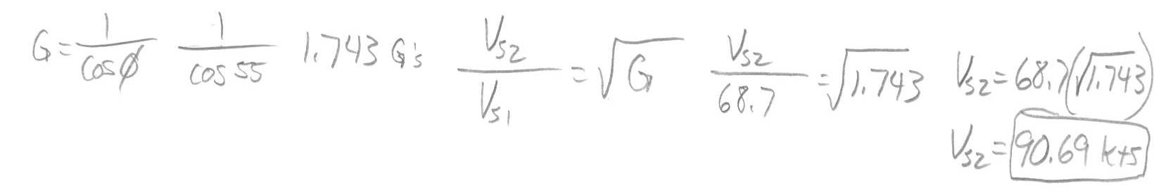
9.        The F-33A unaccelerated stall speed is 68.7 kts IAS. What is the accelerated stall speed in a 55˚ bank level turn?

Math Homework

10.      The C-23 has a maneuver speed of 116 kts at 2450 pounds gross weight. What is the adjusted maneuver speed if the weight is reduced to 2000 pounds?

Math Homework

18.      An airplane flying at 15,568 feet, at a TAS of 150 kts, has a one G stall speed of 70kts IAS. Assuming no power or thrust limits, what bank angle turn (level) would be possible under the conditions given?

Math Homework

20.      While maintaining 150 kts TAS an airplane is doing a level turn wherein the Radius is 1100 feet and the Rate of Turn (ROT) is13.71per second. Compute the turning numbers that would result if the airplane were accelerated to a TAS of 200 kts and continued the same turn.

 

Math Homework

Home Work #9

5.         Stall speed in one G flight is 70 knots. What is the new stall speed if the load factor is increased to 7 G’s

 

Math Homework

6.         What is the load factor on an airplane making a level 47 degree bank turn?

Math Homework

8.         If the limit load factor of an airplane is 3.8 G’s at 3000 pounds gross weight, what will it change to if the gross weight is increased to 8000 pounds?

Math Homework

10.       How much aerodynamic load is incurred by an airplane making a 90degree bank level turn?

Math Homework

11.       While making an emergency descent in a B-19, you reach an IAS of 154 knots. With this much airspeed, how many Gs could you pull if you applied full aft pitch up controls? Assume gross weight of 2150 pounds and an unaccelerated stall speed of 57 kts.

Math Homework

12.         In 12 above, if you only weighed 1800 pounds, how many Gs could you pull?

 

Math Homework

16.       The B-19 has a 1 G stall speed of 60 knots at a gross weight of 2150 pounds. Assuming a limit load factor of 3.8 G’s, compute the maneuvering airspeed. How close is this to the speed published in the POH?

Math Homework

17.       If you reduce the gross weight to 2000 pounds what will the new or adjusted maneuvering speed be?

Math Homework

23.       Compute the radius of turn and the rate of turn for a F-33A Bonanza with a TAS of 200 knots and bank angle of 55 degrees.

rate of turn_______________

radius of turn________________

Math Homework

25.       The wings of a 5000 pound airplane are generating 25,000 pounds of lift. What is the load factor on this airplane?

Math Homework

26.       An F-16 is pulling 572.9 G’s as it demonstrates level turn performance at an air show. As a well educated observer you would know that the bank angle of this turn is____________ degrees.

 

Math Homework